What’s with the driveshaft maximum length?
Because a driveshaft that is too long WILL EXPLODE!
A driveshaft is a mechanical system, and mechanical systems have natural resonant frequencies. When a mechanical system is perturbed with an outside force, the system will respond with vibrations. The vibrations will increase in amplitude as the frequency of the outside force approaches the natural resonant frequency of the mechanical system.
An example of a vibrating system is the suspension on a vehicle. Push down on the bumper of a car, and vary the frequency of pushing. The amplitude of bumper motion will increase as the bumper pushing frequency approaches the car suspension natural resonant frequency.
A driveshaft is constantly subjected to the vibrating force from normal U-Joint operation. This is because the input and output of a U-Joint coupled shaft do not spin at the same rate.


The shaft is accelerated and decelerates twice for every complete revolution.

CRITICAL SPEED - speed at which a system resonance is excited. The resonance may be of the journal supports (rigid mode) or flexure of the rotor (flexural mode).
Every driveshaft has a critical speed that represents the rpm where the frequency of the U-Joint vibration force equals the natural resonant frequency of the driveshaft system. When the driveshaft is operated at the critical speed, the vibrations will distort the shaft into a jump rope shape resulting in catastrophic failure.
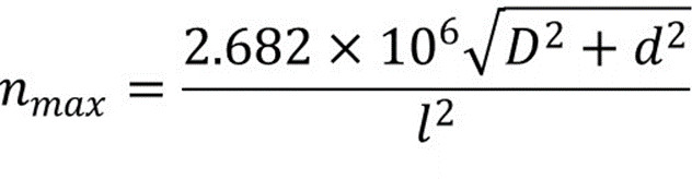
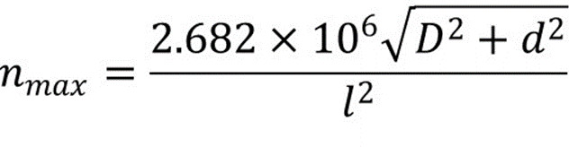
The solution to exploding driveshafts is to make sure the natural resonant frequency built into the shaft is much higher than normal operation. The natural resonant frequency is a function of tube material, inside diameter, outside diameter and length. For steel tubing:

nmax= Maximum safe operating speed in RPM
D = Outer diameter of driveshaft tube in inches
d = Inner diameter of the driveshaft tube in inches
l = Length, center to center of U-Joints in operating position in inches
Spicer has a nice calculator at:
http://spicerparts.com/calculators/driveshaft-safe-operating-rpm-calculator
The above calculator applies to steel driveshafts. The maximum safe operating speed increases with lighter tubing material. This is why longer driveshafts are fabricated with aluminum, and high speed race applications use carbon fiber or aluminum.
Spare no expense! Purchase the aluminum OC Driveshaft today!